El aleteo de una mariposa
Siguiendo la serie “Pensando en serio” y “El promedio: el placebo cognitivo más costoso” veremos ahora lo que ocurre cuando estudiamos sistemas más complejos y en apariencia impredecibles. Sistemas como el clima, la economía o el cuerpo humano no siguen patrones sencillos, y tienen relaciones causa y efecto no lineales. Veremos como de estos sistemas no lineales surge la teoría del caos, y su metáfora más conocida como el efecto mariposa.
Lineal vs no lineal: un problema de lenguaje
Durante siglos, los seres humanos quisimos domar el mundo con ecuaciones. Soñamos con un cosmos dócil y obediente, donde todo lo que ocurre puede predecirse si conocemos las reglas y medimos bien las variables. Newton nos hizo creer que el universo era un reloj perfecto que seguía las reglas de una sinfonía. Sin embargo, no todos los problemas son fáciles de modelar. Los problemas lineales, como los que estudió Newton, siguen el principio de superposición, que establece que la respuesta de un sistema ante la combinación de múltiples influencias es la suma de las respuestas a cada influencia individual. En otras palabras, un sistema lineal es como un eco perfecto donde cada sonido rebota con la misma proporción y sin deformarse. Los sistemas lineales no se autoalimentan ni se curvan sobre sí mismos. Por eso su comportamiento puede predecirse con precisión casi infinita si se conocen las condiciones iniciales.
Pero muchos de los problemas en el mundo real no funcionan así. El clima, la mente, los mercados, la sociedad, son sistemas no lineales. Introducen retroalimentación, efectos acumulativos y puntos de inflexión. Cuando una variable influye en sí misma, el sistema deja de ser proporcional y pequeñas causas pueden generar grandes consecuencias. Y ahí es cuando el orden se curva, cuando lo predecible se vuelve sensible, y el universo comienza a oscilar, bifurcarse o volverse caótico.
A pesar de su dificultad, los sistemas no lineales se pueden modelar. Sólo que requieren un lenguaje más avanzado para poderlos entender. No podemos medir una tormenta con una regla de 30 centímetros. Como la tormenta no la podemos cambiar, nos toca cambiar de instrumento.
En los sistemas lineales el lenguaje matemático se expresa con proporciones, sumas, restas, multiplicación y división. Es un dialecto aritmético, básico, pero potente, que permite acoplar las variables y encajarlas como fichas en un dominó. Es en últimas una búsqueda del equilibrio, donde cada causa produce su efecto proporcional y predecible. Se vive en el mundo de las simetrías y rectas, si acaso con curvas suaves, es un mundo de relojes que siguen su compás.
Pero ya cuando observamos sistemas no-lineales, necesitamos un lenguaje superior, aquel que se basa más en la observación, la imaginación y la inducción. Y eso no se mide con una regla. Necesitamos aquí a la teoría de sistemas dinámicos, la topología, la teoría del caos y otras varias herramientas. Y todo ello se sostiene sobre la construcción de un lenguaje matemático más amplio, que nos obliga a pensar con curvas, retroalimentaciones y geometrías irregulares. Debemos acudir al cálculo diferencial no lineal, a la geometría fractal, entre otros. De todos ellos, el bloque principal del lenguaje es el cálculo diferencial, aquel que nos explica cómo cambian las cosas. Pero ese cálculo, en su versión no lineal, nos enseña algo más profundo: que el cambio puede depender de sí mismo. O dicho en palabras simples, nos permite entender bajo qué condiciones cambia el cambio.
Veremos como a partir de ecuaciones diferenciales no lineales se llegó a la teoría del caos y a su metáfora más conocida como el efecto mariposa.
Atractor de Lorenz
A comienzos de los años 60, Edward Lorenz, trabajaba con una computadora Royal McBee LGP-30, una máquina con menos capacidad que una calculadora actual. Su objetivo era modelar la convección atmosférica, un mecanismo que explicara cómo el aire caliente asciende y el frío desciende, generando corrientes y turbulencias que pudieran determinar el clima. Más allá del modelo matemático, Lorenz se inspiró en un fenómeno físico simple, cuando se calienta un fluido (por ejemplo, una capa de aire o agua), se forman celdas convectivas que son patrones de movimiento donde el fluido caliente sube y el frío baja, como columnas que giran en direcciones opuestas.
En física, este proceso se modela con tres magnitudes básicas:
x: velocidad de circulación del fluido (movimiento horizontal del aire)
y: diferencia de temperatura entre las corrientes ascendentes y descendentes
z: desviación de la temperatura vertical (cuánto se aleja del equilibrio)
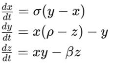
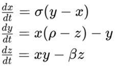
Lorenz partió de la formulación simplificada de Saltzman (1962), quien había derivado una versión reducida de las ecuaciones de Navier–Stokes para la convección térmica, y aplicó una truncación de Fourier que dejó solo tres modos. Las siguientes son el sistema Lorenz, el sistema de 3 ecuaciones diferenciales no lineales que dio origen a su teoría del caos:
Sin entrar en mucho detalle técnico, nótese como cada una de las ecuaciones muestran que el cambio de una variable depende, entre otras, de sí misma. Por ejemplo, el cambio de x en el tiempo (dx/dt) depende de y, de x (si misma) y de un coeficiente σ (número de Prandtl, relación entre viscosidad y conductividad térmica del fluido). Esa interdependencia interna es lo que curva el sistema. Ya no estamos ante relaciones proporcionales ni líneas rectas, sino ante un tejido dinámico donde cada elemento influye y es influido.*
(*): podemos aplicar lo mismo a la política: los de pensamiento lineal creen que los resultados siempre tienen una causa externa: si algo sale mal, fue el mercado, el Estado, el vecino o el pasado. Son herederos del pensamiento mecanicista, si ajustan la variable correcta, todo se alinea. Les fascina por eso la planeación central. Los segundos, los del pensamiento no lineal entienden que el sistema se retroalimenta. Que el éxito y el fracaso son emergentes, no impuestos. Que el individuo y su entorno se moldean mutuamente, y que cambiar el resultado requiere, entre otras, también cambiarse a sí mismo. En otras palabras: unos buscan culpables, otros buscan iteraciones nuevas. No es difícil concluir porque la izquierda es tan potente, sus fórmulas simples y sencillas y sus promesas de causas y efectos son mucho más fáciles de comprar. Son la pereza hecha producto, el consuelo que el problema habita afuera. Pero, con un poco de esfuerzo mental, entendemos que el aleteo de la mariposa dibuja mejor la vida y que el azar tiene fronteras autoinducidas y que el verdadero cambio no viene de ajustar ecuaciones ajenas, sino de escribir las nuestras.
Volviendo a Lorenz, cuenta la leyenda que un día repitió una simulación y, por ahorrar tiempo, ingresó los datos redondeados: de 0.506127 pasó a 0.506. El resultado fue totalmente distinto. No era un error de cálculo, sino una revelación: pequeños cambios iniciales pueden producir consecuencias gigantes. Tres “simples” líneas que describen cómo el aire caliente asciende y el frío desciende. Pero al graficarlas, apareció una figura imposible, dos lóbulos entrelazados que nunca se tocan, nunca se repiten, y nunca se escapan. Ese fue el atractor de Lorenz, también conocido como el efecto mariposa.
Efecto mariposa en Excel
En una aproximación burda en Excel, trato de recrear lo que sintió Lorenz cuando vio la teoría del caos, y con ella el famoso efecto mariposa. Ese efecto se volvió famoso años después, cuando el mismo Lorenz en 1972 lo caracterizó en una charla en Washington donde lanzó su famosa frase: “El aleteo de una mariposa en Brasil puede provocar un tornado en Texas.”
Siguiendo el modelo de 3 ecuaciones descritas arriba, el atractor de Lorenz en realidad modela cada punto del espacio (x, y, z), y cada punto representa un estado instantáneo del sistema físico. A medida que pasa el tiempo, el punto se mueve en ese espacio, trazando una trayectoria 3D. Por tanto, el atractor real es tridimensional, es el caos en su forma pura. Sin embargo, para representarlo de forma gráfica, nos toca hacer dos aproximaciones en Excel:
Excel no puede mostrar un gráfico 3D dinámico real; lo más que hace es un efecto visual de profundidad. Por eso graficamos una proyección, en este caso x vs z, que nos da una sombra bidimensional y es la combinación que mejor muestra los lóbulos de la mariposa.
Excel no tiene un integrador numérico como Python o MATLAB, por lo que Excel no es capaz de resolver esas derivadas. Pero Excel sí puede hacer sumas y multiplicaciones repetitivas en filas y columnas. Entonces usamos el método de Euler como la forma más sencilla de aproximar la solución. El método de Euler no integra exactamente, sino que aproxima la integración mediante pasos discretos y pequeños. Se basa en la idea de que un pequeño cambio en el tiempo ∆t = 0.01 produce un cambio aproximado en la variable. (Euler: Xt+1 = Xt + (dx/dt) ∆t, y así igual para Y y Z)
Con esas dos consideraciones, y partiendo de los datos del modelo original de Lorenz (β= 8/3, σ= 10, ρ= 28), construimos una hoja de Excel para resolver x, y, z. Asumo un ∆t = 0.01. Y graficamos en forma de dispersión hasta 2000 datos (filas) para tener datos suficientes para ver bien las alas. Esta simulación la hacemos cuatro veces, con ∆t = 0.010, en el segundo ∆t = 0.011, en el tercero con ∆t = 0.012 y en el cuarto con ∆t = 0.013. Nótese que con un pequeñísimo cambio en ∆t (cambio de 0.1% en cada simulación), cada mariposa es diferente, pero con patrones similares. Cada una es una sombra bidimensional del sistema completo.
El atractor introdujo tres ideas revolucionarias:
Determinismo caótico: el sistema es completamente determinista (no hay azar), pero el resultado es impredecible por sensibilidad extrema a las condiciones iniciales.
Estructura dentro del caos: el caos no es desorden absoluto; es un patrón que vive dentro de límites definidos.
Geometría fractal del comportamiento: el atractor tiene dimensión fraccionaria, lo que significa que su forma es fractal, es decir, que se repite en escalas infinitas, pero nunca exactamente igual.
O dicho en palabras más simples, lo realmente potente de este descubrimiento es que el caos parece tener fronteras. Todas son diferentes, pero todas son mariposas.
Abajo las 4 dispersiones x vs z. Más abajo un extracto del modelo en excel.
Más allá del caso Lorenz, hay varios otros sistemas no lineales reconocidos:
Sistema de Rössler: el caos en espiral
Campo: Química y biología (reacciones oscilantes)
Visual: una espiral infinita que nunca vuelve al mismo punto.
Mapa de Hénon: el caos en el plano
Campo: Astronomía (movimiento de estrellas en cúmulos galácticos)
Visual: una galaxia matemática formada por puntos infinitos, nunca idénticos.
Modelos financieros no lineales: Ecuaciones como las de Haken o Mandelbrot para precios bursátiles, muestran que los precios no siguen una tendencia lineal, sino trayectorias volátiles y sensibles al ruido inicial.
Campo: Economía compleja, teoría del riesgo
Visual: un gráfico bursátil que parece aleatorio, pero en realidad sigue un patrón fractal.
El cierre
Lo realmente valioso de los sistemas no lineales es que nos obligan a buscar patrones que se repiten sin repetirse, pasamos de resolver ecuaciones a desarrollar simulaciones e iteraciones. Con un lenguaje superior, entendemos que no se trata simplemente de comprar recetas, ahora hay que imaginarlas y diseñarlas. Y es en ese diseño donde maduramos, pues ya no queremos resolver el mundo, sino simplemente interpretarlo. Es el paso de Newton a Lorenz.



Es el paso de Newton a Einstein
Brillante